Coil Systems Used in Magnetometers Calibration

Sci report | March 15, 2022

In this study, we address some aspects of the theoretical model, configuration and requirements to the practical realization of coil systems, utilized to create a homogeneous magnetic field used for magnetometers calibration. The analysis is applied to two different types of discrete magnetic coil systems with two (Helmholtz coils), three and four coils, with round and square shapes. It is also applied to solenoids having a different number of windings and different diameter-to-the-length ratios. Monte Carlo methods have been used to vary the mechanical parameters of the coil systems and analyze the uniformity of magnetic field in a three-dimensional central zone of different sizes. It is shown that the achievement of the magnetic field with high enough homogeneity in the order of 105 depends not only on coil system configuration (number of coils, size, shape and current ratio between the coils in the system) but is especially sensitive to the mechanical precision of specific implementation design.

Introduction

Producing magnetic fields with high homogeneity in a given volume of space is related to many problems in different scientific areas. Solenoids, usually cylindrical in shape, or systems of discrete coils are used in the generation of such fields [1][3][5]. The analysis of the homogeneity of the field was made by various authors [2][3][4][7]. The common between their works is a purely theoretical approach covering only idealized coil systems with exact parameter values. Based on the fact that the construction of such systems is involved with overcoming many difficulties of mechanical and structural nature, it is important to study the sensitivity of such systems to mechanical precision and the ability to achieve fields with a predetermined degree of homogeneity in a 3D region of space. One possible solution to the above problem is demonstrated in this work. The results presented here are related to one particular application of such coil systems, namely their use in the calibration of magnetometers.

Method description

Using the analytical solution for the components of the magnetic intensity vector in the case of the circular current loop [7] and square current loop [6], we construct a numerical model of the distribution of the magnetic field in the three-dimensional central zone. The model is defined in the case of a circular coil system as a cylinder coaxial to the axis of symmetry with a diameter equal to its height and as a cube in the case of a square coil system. As a measure of the field homogeneity in the central zone, we take the reciprocal of the maximum relative deviation of the magnetic vector in that zone. The deviation value is determined by calculating the difference between the magnitude of the magnetic vector in 1000 different points, distributed uniformly throughout the whole zone and the magnitude in the central point of symmetry. The difference is divided by the same central point value of magnitude. Finally, we take the maximum of these 1000 values. The next step consists in finding the relationship between the homogeneity of the field and the mechanical precision of the coil system parameters using Monte Carlo simulation. The dimensions of the individual coils and the distance between them are varied within certain limits by adding normally distributed random numbers with a given dispersion to the exact system parameters values and finding the homogeneity of the field in the central zone. All algorithms and calculations are made using the C# programming language.

Results

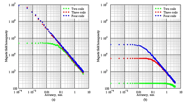
Coil system field homogeneity as a function of mechanical accuracy – case 1.
Magnetic field homogeneity in the central cylindrical zone as a function of mechanical accuracy. Two cases are studied: circular coils with 500 mm diameter and a solenoid made of 1000 windings with 500 mm diameter and diameter-to-the-length ratio of 1:10. Zone size is 25 mm (a) and 100 mm (b), respectively.
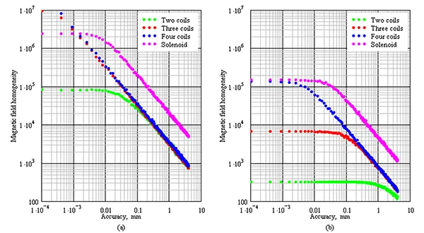
Coil system field homogeneity as a function of mechanical accuracy – case 2.
Magnetic field homogeneity as a function of mechanical accuracy in the case of square coils with side length 500 mm, in the central cubic zone with size 25 mm (a) and 100 mm (b).
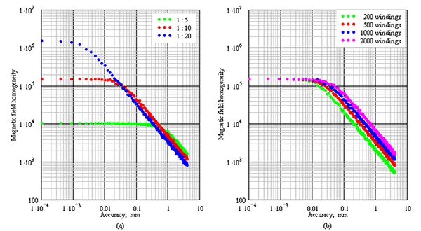
Coil system field homogeneity as a function of mechanical accuracy – case 3.
Magnetic field homogeneity as a function of mechanical accuracy in the case of circular solenoids with 1000 windings of 500 mm in diameter and different diameter-to-the-length ratio (a) and solenoids with diameter 500 mm, diameter-to-the-length ratio 1:10 and the different number of windings (b). Zone size is 100 mm.

Discussion and conclusions

From the demonstrated results, the following observations can be made:

As a final conclusion, we can state that absolute calibration of the magnetometer with accuracy 1 nT requires magnetic fields with a high homogeneity in the order of 105. Moreover, using a solenoid with a diameter-to-the-length ratio of at least 1:10 provides results one order of magnitude better than in the case of discrete coil systems. Nevertheless, the calibration of the magnetometers with such a high degree of accuracy is a really challenging task.

Reference

  1. Alldred J., Scollar I. Square cross section coils for the production of uniform magnetic fields, Journal of Scientific Instruments, Vol. 44, No. 9, pp. 755-760, 1967.
  2. Kedzia P., Czechowski T., Baranowski M., Jurga J., Szczesniak E. Analysis of uniformity of magnetic field generated by the two-pair coil system, Applied Magnetic Resonance, Vol. 44, pp. 605–618, 2013.
  3. Kirschvink J. Uniform magnetic fields and doublewrapped coil systems: Improved techniques for the design of bioelectromagnetic experiments, Bioelectromagnetics, Vol. 13, No. 5, pp. 401-411, 1992.
  4. Magdaleno-Adame S., Olivares-Galvan J., Campero-Littlewood E., Escarela-Perez R., Blanco-Brisset E. Coil systems to generate uniform magnetic field volumes, Excerpt from the Proceedings of the COMSOL Conference, 2010, Boston.
  5. Merritt R., Purcell C., Stroink G. Uniform magnetic field produced by three, four, and five square coils, Review of Scientific Instruments, Vol. 54, No. 7, pp. 879-882, 1983.
  6. Misakian M. Equations for the magnetic field produced by one or more rectangular loops of wire in the same plane, Journal of Research of the National Institute of Standards and Technology, Vol. 105, No. 4, pp. 557-564, 2000.
  7. Simpson J., Lane J., Immer C., Youngquist R. Simple analytic expressions for the magnetic field of a circular current loop, NASA Technical Documents, 2001.

A preliminary version of this report was presented at the Sixth Workshop "Solar Influences on the Magnetosphere, Ionosphere and Atmosphere" May 26-30, 2014, Sunny Beach, Bulgaria.